作为一种新奇的拓扑量子效应,量子反常霍尔效应为凝聚态物理基础研究提供了一个重要的的实验平台,对于未来新型低功耗电子学器件以及实现拓扑量子计算也具有重要意义。因为量子反常霍尔效应发生在零磁场环境下,所以简单而言它是一个零磁场版本的量子霍尔效应。然而事实上,量子霍尔效应和量子反常霍尔效应存在着截然不同的特征。前者是在非常干净的二维电子气中实现的,而量子反常霍尔效应是在磁性掺杂拓扑绝缘体中实现的。由于磁性元素是通过随机掺杂的方式引入的,因此样品中存在强烈的磁无序以及大量磁畴。这种随机性引入的磁无序难以原位控制,给实验研究带来了很大的挑战。然而从另一个角度看,这种磁性、无序以及拓扑之间的相互耦合有可能带来新的拓扑量子相以及量子相变。
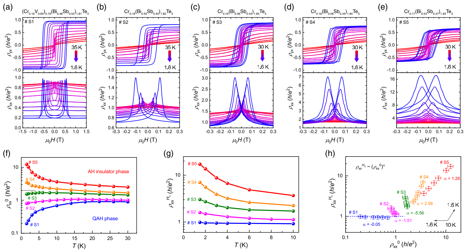
 最近,物理系王亚愚研究组和何珂、薛其坤团队合作,利用量子输运实验手段研究了具有不同磁无序程度的量子反常霍尔效应样品,首次揭示了量子反常霍尔效应体系中新的量子基态。团队成员利用分子束外延手段生长了高质量的磁性掺杂拓扑绝缘体薄膜,并对82块样品进行了在不同温度、磁场和栅极电压的量子输运测量,覆盖了磁无序不同的区间,从统计学的角度克服了之前无法调节无序程度的困难。如图所示,除了此前已知的量子反常霍尔态(QAH),在该体系中还存在着另一类由磁无序造成的反常霍尔绝缘体态(AH insulator)。对于低无序的QAH基态,当温度趋于绝对零度(T ~ 0 K),零磁场下的纵向电阻趋向于零(ρxx0 ~ 0),霍尔电阻趋向于量子化(ρyx0 ~ h/e2)。而随着磁无序的增加,QAH基态逐渐进入AH insulator态,在输运上ρxx0变成了低温发散(ρxx0 ~ ∞),而ρyx0依然可以保持很大的数值。更令人意外的是,在低无序的QAH态磁畴翻转的矫顽场(HC),纵向电阻ρxx也进入了一个量子化的区域ρxxHc ~ h/e2。除了调节磁无序程度可以改变量子反常霍尔基态,他们还发现在高无序的AH insulator中,外加磁场可以引起一个量子相变使其变为QAH态,并且标度行为分析表明该量子相变的临界行为不同于传统量子霍尔效应中的量子相变行为。通过类比量子霍尔效应,他们提出了一个和磁畴边界手性边缘态量子隧穿相关的唯像模型,很好的解释所观察到的实验现象。
 
 图:(a)-(e)不同磁无序度的磁性拓扑绝缘体在不同温度下的磁阻以及霍尔行为。(f)-(g)不同磁无序度样品在零磁场和矫顽场下纵向电阻随着温度的演化。(h)无序程度的变化带来的零磁场和矫顽场下纵向电阻不同的演化趋势。
 该工作通过对多个量子反常霍尔效应样品实验数据的统计研究,揭示了量子反常霍尔效应体系中存在着新的基态。这项研究不仅揭示了该体系中由于无序、磁性以及拓扑相互耦合带来的新奇物理现象,还成功解释了长久困扰该领域的量子反常霍尔态存在剩余电阻的问题。该成果以“Distinct Quantum Anomalous Hall Ground States Induced by Magnetic Disorders”为题发表在2020年12月30日的Physical Review X上。物理系博士后刘畅以及欧云波博士为文章的共同第一作者。该工作得到了国家自然科学基金、科技部以及北京未来芯片技术高精尖创新中心的支持。文章链接:https://journals.aps.org/prx/abstract/10.1103/PhysRevX.10.041063